webでTOC思考プロセスが使えるソーシャル問題解決システム『sekasuku(セカスク)』上で対立解消図(CRD)の「インジェクション」を読みやすくなるように、仕様変更しました。
http://press.sekasuku.com/2016/09/14/32
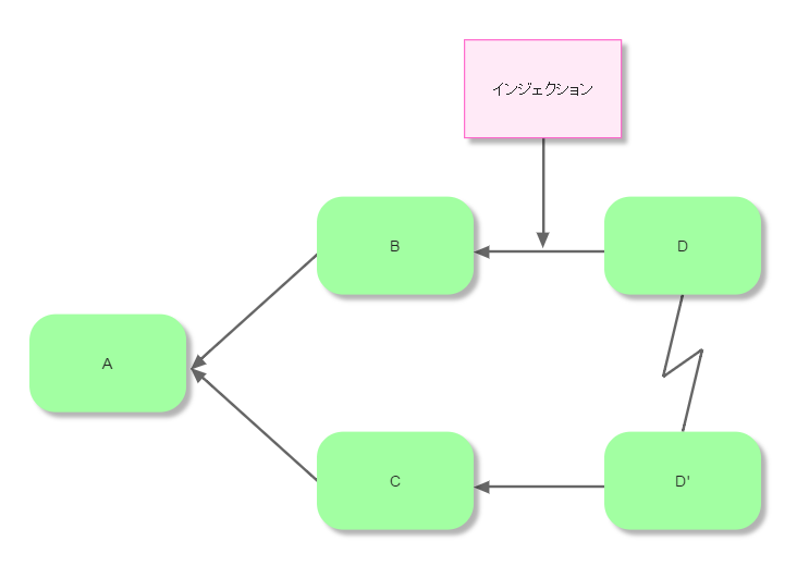
旧インジェクションはTOC思考プロセスの教科書などに載っているものを模したもので、BとD、もしくはCとD’の間の矢印線に置ける仕様となっていました。

しかしインジェクションは、このインジェクションを対立するDとD’の代わりに実行することでBとCの要求を両立させてDとD’の対立を解消するものなので、BとCどちらにも矢印線をつなげて対立を表すイナズマ線の上に置いて対立が消せる仕様とし、表現力を高めました。

一部の思考プロセスに慣れた方が、このような対立解消図を作っているのを見かけたため、良い表現方法だと思って採用しました。
最近わたしの嫁がsekasukuの対立解消図を使って、人生の岐路となる対立を画期的なアイディアで解決していました。
これほど三方良しの解決方法をサクッと考え出せるのは、やはりツールが良いから(ニヤリ)
まだツリーを印刷できる機能が無いため、他の人に説明する時に紙にすべて手書きで写していたのは夫婦間のヒミツです。
相手が通常の人の場合はツリーのURLをメールなどで送れば見れるのですが、相手がスマホしか持っていない人だったり、ご老体だったりすると見れないんですよね。
やはり紙に印刷って大事ですね。
引き続きsekasukuをよろしくお願いいたします。













コメント